Nghiên cứu so sánh về WebP, JPEG và JPEG 2000, tháng 9 năm 2010
Lưu ý: Chúng tôi đã tiến hành nghiên cứu ban đầu này với phiên bản WebP đầu tiên mà chúng tôi phát hành, sử dụng thư viện libvpx
. Ngoài ra, hình ảnh nguồn là hình ảnh JPEG mà chúng tôi đã thu thập từ Web. Dựa trên ý kiến phản hồi của cộng đồng, chúng tôi hiện đã tiến hành một nghiên cứu mới với phiên bản 0.1.2 của libwebp
, bắt đầu bằng hình ảnh không suy hao (PNG) làm nguồn. Nghiên cứu mới thay thế nghiên cứu này.
Nhóm WebP đã thực hiện một nghiên cứu so sánh về 3 phương pháp nén hình ảnh trên một tập hợp ngẫu nhiên gồm 1 triệu hình ảnh. Mục tiêu của nghiên cứu này là đo lường mức độ nén đạt được bằng các phương thức đó và phân tích sự đánh đổi giữa kích thước hình ảnh và mức độ nén.
Ba phương thức nén, WebP, JPEG 2000 và Re-JPEG, được áp dụng cho 900.000 hình ảnh JPEG có trong tập dữ liệu. Hình ảnh JPEG được nén lại bằng Re-JPEG để mỗi hình ảnh càng gần với giá trị tỷ lệ tín hiệu-to-noise (PSNR) mục tiêu càng tốt. Nhóm nghiên cứu đã phân tích các hình ảnh sau khi nén.
Ngoài nghiên cứu trên quy mô lớn, nhóm nghiên cứu đã kiểm tra thủ công 100 hình ảnh ngẫu nhiên và nhận thấy rằng trong hầu hết các trường hợp, WebP cung cấp chất lượng hình ảnh chấp nhận được.
Kết luận
WebP đạt được tỷ lệ nén cao hơn tổng thể so với JPEG hoặc JPEG 2000. Mức tăng về việc giảm thiểu kích thước tệp đặc biệt cao đối với các hình ảnh nhỏ hơn, đây là những hình ảnh phổ biến nhất trên web.
Tập dữ liệu
Tập dữ liệu được sử dụng trong nghiên cứu này là một bộ sưu tập gồm 1 triệu hình ảnh được lấy mẫu ngẫu nhiên từ một kho lưu trữ hình ảnh được thu thập thông tin từ web. Bảng sau đây cho thấy mức phân phối của các loại hình ảnh trong tập dữ liệu.
Loại | Số lượt |
---|---|
JPEG | ~900 nghìn |
PNG | ~47 nghìn |
GIF | ~47 nghìn |
Khác | ~6 nghìn |
Thiết kế thử nghiệm
Các thử nghiệm được chạy theo hai giai đoạn:
Nhóm nghiên cứu đã chạy WebP trên các hình ảnh có PSNR mục tiêu là 42. Họ đã điều chỉnh tham số chất lượng (QP) cho bộ mã hoá WebP cho đến khi đạt được kết quả gần nhất có thể là 42 cho một hình ảnh nhất định. Do đó, PSNR thực tế đạt được cho mỗi hình ảnh không nhất thiết phải chính xác là 42.
Nhóm nghiên cứu đã sử dụng giá trị PSNR cho hình ảnh nén WebP làm PSNR mục tiêu cho hình ảnh JPEG 2000 và Re-JPEG. Họ cũng thực hiện một tìm kiếm dòng trên các tham số chất lượng của hình ảnh JPEG 2000 và JPEG để đạt được PSNR mục tiêu gần nhất có thể.
Kết quả nén thực tế được đo bằng tỷ lệ phần trăm theo công thức sau:
compression_percentage = 100 * (original_image.length - compressed_image.length) / original_image.length
Kết quả
Các thử nghiệm đã mang lại kết quả sau đây cho mức tăng độ nén âm và không âm:
Độ lợi nén không âm
Nhóm nghiên cứu không phạt một phương thức nếu phương thức đó làm tăng kích thước hình ảnh sau khi nén. Tức là compression_percentage được coi là 0 khi compressed_image.length lớn hơn original_image.length.
Mức tăng nén âm
Nhóm nghiên cứu đã cho phép kết quả tỷ lệ phần trăm nén âm để hiểu rõ hơn về hiệu suất thô của nhiều trình nén.
Sau đây là tỷ lệ nén trung bình mà mỗi phương thức đạt được.
Loại | PSNR trung bình thu được | Tỷ lệ nén trung bình (mức tăng tỷ lệ nén không âm) |
Tỷ lệ nén trung bình (mức tăng nén âm) |
---|---|---|---|
WebP | 39,38 | 41.30 | 39,80 |
JPEG 2000 | 39,49 | 27,67 | 9,71 |
Re-JPEG | 39,36 | 22,37 | 14,62 |
Khi cho phép mức tăng nén âm, hiệu suất trung bình của JPEG 2000 thấp hơn so với JPEG. Điều này có thể là do các cấu phần nén tần số cao có trong hình ảnh JPEG; các cấu phần nén này có thể góp phần tạo ra tình trạng nén không lý tưởng.
Quá trình triển khai Kakadu dùng trong thử nghiệm để chuyển đổi sang JPEG 2000 không thể chuyển đổi khoảng 240.000 hình ảnh.
JPEG 2000 có tỷ lệ nén thấp hơn so với Re-JPEG, chủ yếu là do kết quả JPEG 2000 là nén âm đối với nhiều hình ảnh. Vì lý do đó, hình ảnh JPEG đạt được điểm nén tổng thể thấp hơn.
Các hình sau đây cung cấp biểu đồ phân phối cho 3 phương thức:
Hình 1: Phân phối kích thước hình ảnh
Biểu đồ cho thấy hầu hết hình ảnh đều có kích thước nhỏ. Tần suất của các hình ảnh có kích thước lớn hơn 500K thường dưới 100.
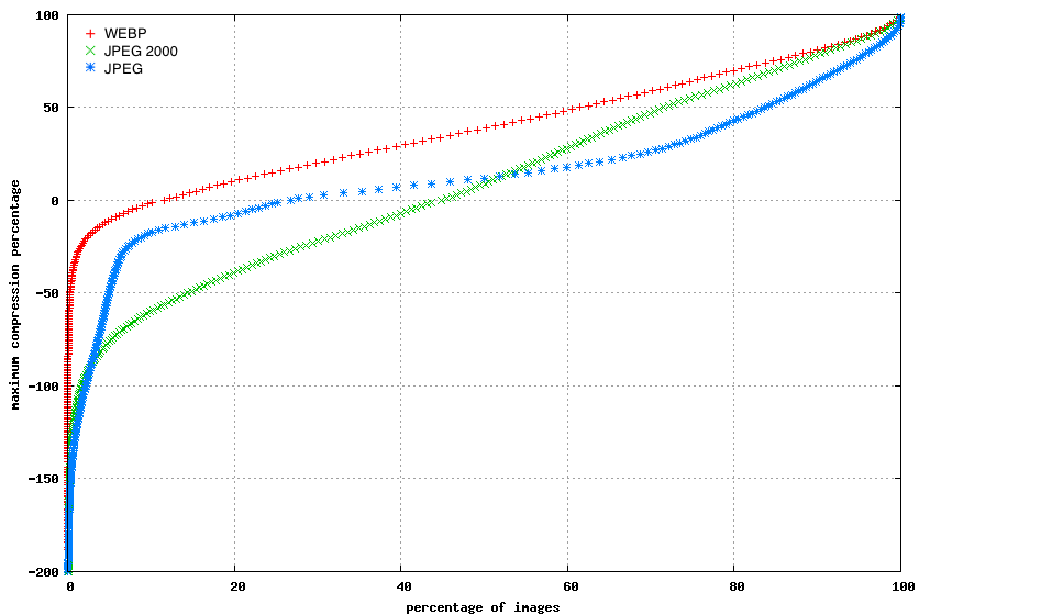
Hình 2: Tỷ lệ phần trăm nén cho hình ảnh WebP, JPEG và JPEG 2000
Biểu đồ này minh hoạ rằng nội dung của hình ảnh được nén bằng WebP có khả năng nén tốt hơn so với re-jpeg và jpeg 2000. Ngoài ra, những bức ảnh được nén bằng WebP có tỷ lệ nén tích cực hơn so với các bức ảnh khác.
Hình 3: So sánh kích thước hình ảnh và tỷ lệ nén
Biểu đồ này cho thấy WebP đạt được khả năng nén tốt hơn so với các định dạng khác, đặc biệt là đối với hình ảnh có kích thước nhỏ hơn.