WebP, JPEG এবং JPEG 2000, সেপ্টেম্বর 2010 এর তুলনামূলক অধ্যয়ন
 দ্রষ্টব্য: আমরা এই প্রাথমিক গবেষণাটি পরিচালনা করেছি WebP এর প্রথম সংস্করণ যা আমরা প্রকাশ করেছি, যা libvpx লাইব্রেরি ব্যবহার করেছে। উপরন্তু, উৎসের ছবিগুলো ছিল JPEG ছবি যা আমরা ওয়েব থেকে ক্রল করেছি। সম্প্রদায়ের প্রতিক্রিয়ার উপর ভিত্তি করে, আমরা এখন libwebp এর 0.1.2 সংস্করণের সাথে একটি নতুন গবেষণা শুরু করেছি যার মাধ্যমে উৎস হিসেবে লসলেস ইমেজ (PNG) রয়েছে। নতুন অধ্যয়নটি এই গবেষণাকে ছাড়িয়ে গেছে।
WebP টিম 1 মিলিয়ন ছবির র্যান্ডম সেটের উপর তিনটি ইমেজ কম্প্রেশন পদ্ধতির একটি তুলনামূলক অধ্যয়ন করেছে। অধ্যয়নের লক্ষ্যগুলি ছিল সেই পদ্ধতিগুলি দ্বারা অর্জিত সংকোচন পরিমাপ করা এবং চিত্রের আকার এবং কম্প্রেশনের মধ্যে ট্রেড-অফগুলি বিশ্লেষণ করা।
তিনটি কম্প্রেশন পদ্ধতি, WebP, JPEG 2000 এবং Re-JPEG, ডেটা সেটে থাকা 900,000 JPEG ছবিতে প্রয়োগ করা হয়েছিল। JPEG ছবিগুলিকে Re-JPEG দিয়ে পুনরায় সংকুচিত করা হয়েছিল যাতে প্রতিটি একটি টার্গেট পিক সিগন্যাল-টু-নয়েজ রেশিও (PSNR) মানের যতটা সম্ভব কাছাকাছি ছিল। ছবিগুলো সংকুচিত করার পর দলের বিশ্লেষণ করা হয়েছিল।
বড় আকারের অধ্যয়ন ছাড়াও, দলটি ম্যানুয়ালি 100টি এলোমেলো ছবি পরিদর্শন করেছে এবং দেখেছে যে, বেশিরভাগ ক্ষেত্রে, WebP গ্রহণযোগ্য ভিজ্যুয়াল গুণমান প্রদান করে।
উপসংহার
WebP JPEG বা JPEG 2000 এর তুলনায় সামগ্রিকভাবে উচ্চতর কম্প্রেশন অর্জন করে। ফাইলের আকার মিনিমাইজেশনে লাভ বিশেষ করে ছোট ছবিগুলির জন্য বেশি যা ওয়েবে পাওয়া সবচেয়ে সাধারণ।
ডেটা সেট
গবেষণায় ব্যবহৃত ডেটা সেটটি ছিল ওয়েব থেকে ক্রল করা ছবিগুলির একটি ভান্ডার থেকে এলোমেলোভাবে নমুনাকৃত 1 মিলিয়ন ছবির একটি সংগ্রহ। নিম্নলিখিত সারণী ডেটা সেটে বিভিন্ন ধরণের চিত্রের বিতরণ দেখায়।
| টাইপ | গণনা | 
|---|---|
| জেপিইজি | ~900K | 
| পিএনজি | ~47K | 
| জিআইএফ | ~47K | 
| অন্যান্য | ~6K | 
এক্সপেরিমেন্ট ডিজাইন
পরীক্ষা দুটি পর্যায়ে চালানো হয়েছিল:
- দলটি 42 এর লক্ষ্য PSNR সহ ইমেজগুলিতে WebP চালায়। তারা WebP এনকোডারের জন্য কোয়ালিটি প্যারামিটার (QP) টিউন করে যতক্ষণ না তারা একটি প্রদত্ত চিত্রের জন্য 42-এর কাছাকাছি ফলাফল অর্জন করতে পারে। প্রতিটি ছবির জন্য অর্জিত প্রকৃত PSNR, তাই, অগত্যা ঠিক 42 ছিল না। 
- JPEG 2000 এবং Re-JPEG ইমেজগুলির লক্ষ্য PSNR হিসাবে দলটি WebP-সংকুচিত চিত্রগুলির জন্য PSNR মান ব্যবহার করেছে৷ লক্ষ্য PSNR-এর যতটা সম্ভব কাছাকাছি আসার জন্য তারা JPEG 2000 এবং JPEG চিত্রগুলির গুণমানের প্যারামিটারগুলির উপর একটি লাইন অনুসন্ধানও করেছে৷ 
প্রকৃত কম্প্রেশন ফলাফল নিম্নলিখিত সূত্র ব্যবহার করে শতাংশ হিসাবে পরিমাপ করা হয়েছিল:
compression_percentage = 100 * (original_image.length - compressed_image.length) / original_image.length
ফলাফল
পরীক্ষাগুলি নেতিবাচক এবং অ-নেতিবাচক কম্প্রেশন লাভের জন্য নিম্নলিখিত ফলাফল দিয়েছে:
অ-নেতিবাচক কম্প্রেশন লাভ
দলটি কোনও পদ্ধতিকে শাস্তি দেয়নি যদি সেই পদ্ধতিটি সংকোচনের পরে চিত্রের আকার বাড়িয়ে দেয়। অর্থাৎ, যখন কম্প্রেসড_ইমেজ.লেংথ original_image.length-এর চেয়ে বেশি হয় তখন কম্প্রেশন_শতাংশকে 0 হিসাবে বিবেচনা করা হত।
নেতিবাচক কম্প্রেশন লাভ
দলটি বিভিন্ন কম্প্রেসারের কাঁচা কর্মক্ষমতা সম্পর্কে আরও ভাল বোঝার জন্য নেতিবাচক কম্প্রেশন শতাংশ ফলাফলের অনুমতি দিয়েছে।
নিম্নলিখিত তিনটি পদ্ধতির প্রতিটি দ্বারা অর্জিত গড় কম্প্রেশন শতাংশ রয়েছে।
| টাইপ | গড় PSNR প্রাপ্ত | গড় কম্প্রেশন % (অ-নেতিবাচক কম্প্রেশন লাভ) | গড় কম্প্রেশন % (নেতিবাচক কম্প্রেশন লাভ) | 
|---|---|---|---|
| ওয়েবপি | ৩৯.৩৮ | ৪১.৩০ | 39.80 | 
| JPEG 2000 | ৩৯.৪৯ | 27.67 | ৯.৭১ | 
| পুনরায় JPEG | ৩৯.৩৬ | 22.37 | 14.62 | 
যখন নেতিবাচক সংকোচন লাভের অনুমতি দেওয়া হয়েছিল, তখন JPEG 2000-এর গড় কর্মক্ষমতা JPEG-এর তুলনায় কম ছিল। এটি JPEG চিত্রগুলিতে উপস্থিত উচ্চ-ফ্রিকোয়েন্সি শিল্পকর্মের কারণে হতে পারে; এই নিদর্শনগুলি আদর্শের চেয়ে কম কমপ্রেশন পরিস্থিতিতে অবদান রাখতে পারে।
JPEG 2000-এ রূপান্তর করার জন্য পরীক্ষায় ব্যবহৃত Kakadu বাস্তবায়ন প্রায় 240,000 ছবি রূপান্তর করতে ব্যর্থ হয়েছে।
JPEG 2000-এর Re-JPEG-এর তুলনায় কম কম্প্রেশন শতাংশ ছিল, প্রাথমিকভাবে কারণ JPEG 2000 ফলাফল অনেক ছবির জন্য নেতিবাচক কম্প্রেশন ছিল। সেই কারণে, JPEG চিত্রগুলি কম সামগ্রিক কম্প্রেশন স্কোর অর্জন করেছে।
নিম্নলিখিত পরিসংখ্যান তিনটি পদ্ধতির জন্য বিতরণ গ্রাফ প্রদান করে:
চিত্র 1: চিত্রের আকার জনসংখ্যা বিতরণ

গ্রাফটি দেখায় যে বেশিরভাগ চিত্রগুলি ছোট ছিল। 500K-এর বেশি আকারের চিত্রগুলির ফ্রিকোয়েন্সি সাধারণত 100-এর কম হয়৷
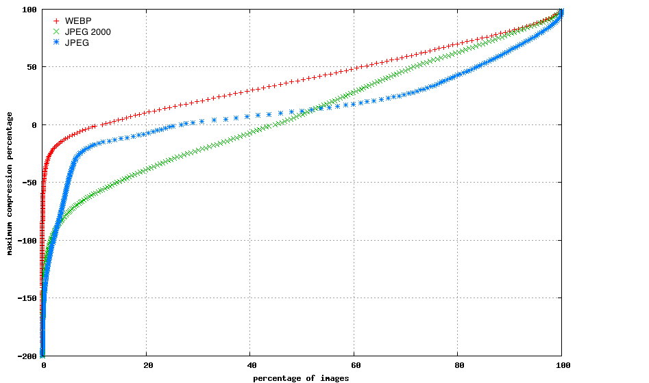
চিত্র 2: WebP, JPEG, এবং JPEG 2000 চিত্রগুলির জন্য কম্প্রেশন শতাংশ

এই গ্রাফটি দেখায় যে WebP এর সাথে কম্প্রেস করা ছবির বডি রি-jpeg এবং jpeg 2000 এর চেয়ে ভালো কম্প্রেশন পেয়েছে। এছাড়াও, WebP এর সাথে কম্প্রেস করা ছবি অন্যদের তুলনায় বেশি ইতিবাচক কম্প্রেশন পেয়েছে।
চিত্র 3: চিত্রের আকার এবং কম্প্রেশন শতাংশের তুলনা

এই গ্রাফটি দেখায় যে WebP অন্যান্য ফরম্যাটের তুলনায় ভাল কম্প্রেশন অর্জন করে, বিশেষ করে ছোট ছবির জন্য।
