مطالعه تطبیقی WebP، JPEG و JPEG 2000، سپتامبر 2010
 توجه: ما این مطالعه اولیه را با اولین نسخه WebP که منتشر کردیم انجام داده بودیم که از کتابخانه libvpx استفاده می کرد. علاوه بر این، تصاویر منبع، تصاویر JPEG بودند که ما از وب خزیده بودیم. بر اساس بازخورد جامعه، ما اکنون یک مطالعه جدید با نسخه 0.1.2 libwebp انجام داده ایم که با تصاویر بدون اتلاف (PNG) به عنوان منبع شروع می شود. مطالعه جدید جایگزین این مطالعه می شود.
تیم WebP یک مطالعه مقایسه ای از سه روش فشرده سازی تصویر را بر روی یک مجموعه تصادفی از 1 میلیون تصویر انجام داد. اهداف این مطالعه اندازه گیری فشرده سازی به دست آمده توسط آن روش ها و تجزیه و تحلیل مبادلات بین اندازه تصویر و فشرده سازی بود.
سه روش فشرده سازی WebP، JPEG 2000 و Re-JPEG برای 900000 تصویر JPEG موجود در مجموعه داده اعمال شد. تصاویر JPEG مجدداً با Re-JPEG فشرده شدند به طوری که هر کدام تا حد ممکن نزدیک به مقدار پیک سیگنال به نویز (PSNR) باشد. تجزیه و تحلیل تیم بر روی تصاویر پس از فشرده سازی انجام شد.
علاوه بر مطالعه در مقیاس بزرگ، تیم به صورت دستی 100 تصویر تصادفی را بررسی کردند و دریافتند که در بیشتر موارد، WebP کیفیت بصری قابل قبولی را ارائه می دهد.
نتیجه گیری
WebP به طور کلی فشرده سازی بالاتری را نسبت به JPEG یا JPEG 2000 به دست می آورد. به ویژه برای تصاویر کوچکتر که رایج ترین تصاویر موجود در وب هستند، به حداقل رساندن اندازه فایل افزایش می یابد.
مجموعه داده ها
مجموعه داده های مورد استفاده در این مطالعه مجموعه ای از 1 میلیون تصویر بود که به طور تصادفی از مخزن تصاویر خزیده شده از وب نمونه برداری شد. جدول زیر توزیع انواع مختلف تصاویر در مجموعه داده را نشان می دهد.
| تایپ کنید | بشمار | 
|---|---|
| JPEG | ~ 900 هزار | 
| PNG | ~ 47 هزار | 
| GIF | ~ 47 هزار | 
| دیگر | ~ 6 هزار | 
طراحی آزمایش
آزمایش ها در دو مرحله انجام شد:
- این تیم WebP را روی تصاویر با هدف PSNR 42 اجرا کردند. آنها پارامتر کیفیت (QP) را برای رمزگذار WebP تنظیم کردند تا زمانی که به نتیجه ای نزدیک به 42 رسیدند که برای یک تصویر مشخص می توانستند بدست آورند. بنابراین، PSNR واقعی به دست آمده برای هر تصویر، لزوما دقیقاً 42 نبود. 
- این تیم از مقدار PSNR برای تصاویر فشرده شده توسط WebP به عنوان PSNR هدف برای تصاویر JPEG 2000 و Re-JPEG استفاده کرد. آنها همچنین یک جستجوی خطی روی پارامترهای کیفیت تصاویر JPEG 2000 و JPEG انجام دادند تا تا حد امکان به PSNR هدف نزدیک شوند. 
نتیجه فشرده سازی واقعی به صورت درصد با استفاده از فرمول زیر اندازه گیری شد:
compression_percentage = 100 * (original_image.length - compressed_image.length) / original_image.length
نتایج
آزمایشها نتایج زیر را برای افزایش فشار منفی و غیرمنفی به دست دادند:
افزایش فشرده سازی غیر منفی
اگر آن روش پس از فشرده سازی، اندازه تصویر را افزایش دهد، تیم هیچ روشی را جریمه نمی کند. یعنی زمانی که compressed_image.length بزرگتر از original_image.length بود، compression_percentage 0 در نظر گرفته شد.
افزایش فشرده سازی منفی
تیم به نتایج درصد فشرده سازی منفی اجازه داد تا درک بهتری از عملکرد خام کمپرسورهای مختلف داشته باشند.
در زیر میانگین درصد فشرده سازی که با هر یک از سه روش به دست آمده است آورده شده است.
| تایپ کنید | میانگین PSNR به دست آمده است | میانگین درصد فشرده سازی (افزایش فشرده سازی غیر منفی) | میانگین درصد فشرده سازی (افزایش فشرده سازی منفی) | 
|---|---|---|---|
| وب پی | 39.38 | 41.30 | 39.80 | 
| JPEG 2000 | 39.49 | 27.67 | 9.71 | 
| JPEG مجدد | 39.36 | 22.37 | 14.62 | 
هنگامی که افزایش فشرده سازی منفی مجاز بود، میانگین عملکرد برای JPEG 2000 کمتر از JPEG بود. این ممکن است به دلیل آرتیفکت های با فرکانس بالا موجود در تصاویر JPEG باشد. این مصنوعات می توانند به یک وضعیت فشرده سازی کمتر از ایده آل کمک کنند.
پیاده سازی Kakadu که در آزمایش برای تبدیل به JPEG 2000 استفاده شد، نتوانست تقریباً 240000 تصویر را تبدیل کند.
JPEG 2000 درصد فشرده سازی کمتری نسبت به Re-JPEG داشت، در درجه اول به این دلیل که نتیجه JPEG 2000 فشرده سازی منفی برای بسیاری از تصاویر بود. به همین دلیل، تصاویر JPEG امتیاز فشرده سازی کلی پایین تری را به دست آوردند.
در شکل های زیر نمودارهای توزیع برای سه روش ارائه می شود:
شکل 1: اندازه تصویر توزیع جمعیت

نمودار نشان می دهد که بیشتر تصاویر کوچک بودند. فرکانس تصاویر با اندازه بیش از 500K معمولا کمتر از 100 است.
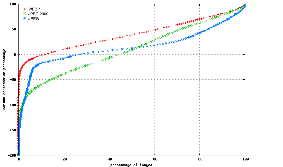
شکل 2: درصد فشرده سازی برای تصاویر WebP، JPEG و JPEG 2000

این نمودار نشان می دهد که بدنه تصاویر فشرده شده با WebP فشرده سازی بهتری نسبت به re-jpeg و jpeg 2000 دارند. همچنین، تصاویر فشرده شده با WebP فشرده سازی مثبت بیشتری نسبت به بقیه دارند.
شکل 3: مقایسه اندازه تصویر و درصد فشرده سازی

این نمودار نشان می دهد که WebP فشرده سازی بهتری را نسبت به فرمت های دیگر به خصوص برای تصاویر کوچکتر انجام می دهد.
