دراسة مقارنة لتنسيقات WebP وJPEG وJPEG 2000، أيلول (سبتمبر) 2010
ملاحظة: أجرينا هذه الدراسة الأولية باستخدام أول إصدار من WebP
الذي طرحناه، والذي استخدم مكتبة libvpx. بالإضافة إلى ذلك، كانت الصور المرجعية
هي صور بتنسيق JPEG تم الزحف إليها من الويب. استنادًا إلى الملاحظات التي وردتنا من
المنتدى، أجرينا الآن
دراسة جديدة باستخدام الإصدار 0.1.2 من libwebp
بدءًا من الصور بدون فقدان أي تفاصيل (PNG) كمصدر. وتحلّ الدراسة الجديدة محلّ هذه
الدراسة.
أجرى فريق WebP دراسة مقارنة بين ثلاث طرق لضغط الصور على مجموعة عشوائية من مليون صورة. كانت أهداف الدراسة هي قياس درجة الضغط التي حقّقتها هذه الطرق وتحليل المفاضلات بين أحجام الصور ودرجة الضغط.
تم تطبيق ثلاث طرق ضغط، هي WebP وJPEG 2000 وRe-JPEG، على 900,000 صورة JPEG مضمّنة في مجموعة البيانات. تمت إعادة ضغط صور JPEG باستخدام تقنية Re-JPEG لكي تكون كل صورة أقرب ما يمكن إلى قيمة ذروة نسبة الإشارة إلى الضوضاء (PSNR) المستهدَفة. أجرى الفريق تحليلاً للصور بعد ضغطها.
بالإضافة إلى الدراسة على نطاق واسع، فحص الفريق يدويًا 100 صورة عشوائية وتبيّن له أنّ WebP يقدّم جودة مرئية مقبولة في معظم الحالات.
الاستنتاجات
يحقّق WebP ضغطًا أعلى بشكل عام من تنسيق JPEG أو JPEG 2000. إنّ الفوائد التي تحقّقها عند تقليل حجم الملفات تكون عالية بشكل خاص للصور الأصغر حجمًا والتي تشكل الأكثر شيوعًا على الويب.
مجموعة البيانات
كانت مجموعة البيانات المستخدَمة في الدراسة عبارة عن مجموعة من مليون صورة تم اختيار عيّنات منها randomly بشكل عشوائي من مستودع صور تم الزحف إليه من الويب. يعرض الجدول التالي توزيع الأنواع المختلفة من الصور في مجموعة البيانات.
| النوع | الإحصاء |
|---|---|
| JPEG | 900 ألف تقريبًا |
| PNG | 47 ألف تقريبًا |
| GIF | 47 ألف تقريبًا |
| غير ذلك | 6K |
تصميم التجربة
تم إجراء التجارب على مرحلتَين:
أجرى الفريق تحويل WebP للصور بقيمة PSNR مستهدَفة تبلغ 42. وضبطوا مَعلمة الجودة (QP) لبرنامج ترميز WebP إلى أن حصلوا على نتيجة كانت أقرب ما يمكن إلى 42 لصورة معيّنة. بالتالي، لم يكن مقياس PSNR الذي تم تحقيقه لكل صورة هو 42 بالضبط.
استخدَم الفريق قيمة مقياس PSNR للصور المضغوطة بتنسيق WebP كمقياس PSNR المستهدف لصور JPEG 2000 وRe-JPEG. أجرى الفريق أيضًا عملية بحث خطي على مَعلمات الجودة لصور JPEG 2000 وJPEG بهدف الاقتراب قدر الإمكان من مقياس PSNR المستهدَف.
تم قياس نتيجة الضغط الفعلية كنسبة مئوية باستخدام العبارة التالية:
compression_percentage = 100 * (original_image.length - compressed_image.length) / original_image.length
النتائج
أسفرت الاختبارات عن النتائج التالية لزيادة ملف مضغوط سلبية وغير سلبية:
مكاسب الضغط غير السلبية
لم يفرض الفريق عقوبة على طريقة إذا كانت هذه الطريقة قد زادت من حجم الصورة بعد الضغط. وهذا يعني أنّه تم اعتبار أنّ النسبة المئوية للضغط هي 0 عندما كان طول compressed_image.length أكبر من طول original_image.length.
الاستفادة من ميزة "الضغط السالب"
سمح الفريق بنتائج النسبة المئوية للضغط السالب للتعرّف بشكلٍ أفضل على الأداء الأوّلي للمكبّرات المختلفة.
في ما يلي متوسط النسب المئوية للضغط التي تم تحقيقها باستخدام كلٍّ من الطرق الثلاث.
| النوع | متوسّط PSNR الذي تمّ الحصول عليه | متوسط النسبة المئوية للضغط (زيادة الضغط غير السلبية) |
متوسّط النسبة المئوية للضغط (زيادة الضغط السلبية) |
|---|---|---|---|
| تنسيق WebP | 39.38 | 41.30 | 39.80 |
| JPEG 2000 | 39.49 | 27.67 | 9.71 |
| إعادة استخدام تنسيق JPEG | 39.36 | 22.37 | 14.62 |
عندما كان يتم السماح بتحقيق مكاسب ضغط سلبية، كان متوسط أداء JPEG 2000 أقل من أداء JPEG. قد يرجع ذلك إلى العناصر المشكّلة ذات التردد العالي المتوفّرة في صور JPEG، ويمكن أن تساهم هذه العناصر المشكّلة في عملية ضغط غير مثالية.
تعذّر على عملية تنفيذ Kakadu المستخدَمة في التجربة لتحويل الصور إلى JPEG 2000 تحويل 240,000 صورة تقريبًا.
كانت النسب المئوية لضغط تنسيق JPEG 2000 أقل من تنسيق Re-JPEG، ويعود السبب الرئيسي إلى أنّه كانت نتيجة تنسيق JPEG 2000 هي ضغط سلبي للعديد من الصور. لهذا السبب، سجّلت صور JPEG نتيجة إجمالية أقل في اختبار الضغط.
تقدّم الأشكال التالية الرسوم البيانية للتوزيع لكلّ من الطريقتَين التاليتَين:
الشكل 1: توزيع عدد الصور حسب حجمها
يُظهر الرسم البياني أنّ معظم الصور كانت صغيرة. تكون وتيرة استخدام الصور التي يزيد حجمها عن 500 كيلوبايت أقل من 100 صورة بشكل عام.
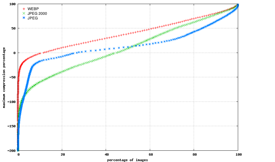
الشكل 2: النسب المئوية للضغط في صور WebP وJPEG وJPEG 2000
يوضّح هذا الرسم البياني أنّ محتوى الصور المضغوطة بتنسيق WebP يحقّق ضغطًا أفضل من تنسيقَي re-jpeg وjpeg 2000. بالإضافة إلى ذلك، حققت الصور المضغوطة باستخدام WebP ضغطًا إيجابيًا أكثر من غيرها.
الشكل 3: مقارنة بين أحجام الصور والنسبة المئوية للضغط
يوضّح هذا الرسم البياني أنّ تنسيق WebP يحقّق ضغطًا أفضل من التنسيقات الأخرى، لا سيما للصور الأصغر حجمًا.