解读可视化图表

借助可视化图表,您可以解读模型的推理结果,并根据模型了解媒体渠道的效果。

Meridian 提供了多种方法来查看模型结果可视化图表:

  • 生成可自定义时间范围的双页 HTML 报告,并且可导出到您的 Google 云端硬盘。

  • 生成模型结果摘要,您可以自定义自己的报告和可视化图表,也可以将这些内容导出为其他格式。借助这些有关您的媒体指标的数值摘要,您可以了解更多详细信息。

  • 绘制媒体可视化图表。您可以创建自定义图表,其中部分图表是标准 HTML 输出中所没有的。例如,您可以绘制特定渠道、更改或删除可信区间、添加 Adstock 衰减,以及添加 Hill 饱和度曲线。

模型拟合图

模型拟合图用于衡量统计拟合优度,只会作为双页 HTML 输出报告的一部分生成。

借助模型拟合图,您可以评估模型的性能,并确定模型是否欠拟合。

输出示例:(点击图片可放大。)

model-fit-output

预期收入与实际收入对比图将预测/预期收入(或 KPI)与实际收入(或 KPI)数据进行对比。金线表示没有媒体效应时的收入。蓝线和绿线分别表示预期收入和实际收入(预期收入是后验平均值)。蓝线和绿线越接近,模型拟合度就越理想。

模型拟合指标表中显示了以下所有类型的指标:

  • R 平方:衡量模型解释的数据变异量。值越接近 1,模型的准确性就越高。

  • 平均绝对百分比误差 (MAPE):衡量预期收入与实际收入之间的平均绝对百分比差值。值越接近 0,模型的准确性就越高。

  • 加权平均绝对百分比误差 (wMAPE):此衡量指标根据实际收入进行了加权。加权指标通常优于未加权指标,因为前者不太受收入相对较低的地理位置和周的影响。如需了解详情,请参阅 wMAPE

模型拟合统计信息还可用于比较候选模型。不过请注意,拟合优度指标并不能全面反映模型在因果推理方面的优劣,而且最佳的因果推理模型可能与最佳预测模型有所不同。

渠道贡献图

渠道贡献图可帮助您理解收入驱动因素。

输出示例:(点击图片可放大。)

revenue-contribution

基准和营销贡献图

基准和营销贡献衡量结果包含两个图:

  • 贡献瀑布图:此图显示了每个营销渠道的增量收入或 KPI 贡献。

  • 贡献饼图:此图(位于上方最右侧)显示了所有营销渠道贡献与基准贡献在总预期收入或 KPI 中所占百分比的对比情况。

根据这两个图,您可以了解所有营销策略和战术的总体财务影响(相对于基准)。

基准是指在没有任何营销渠道贡献的情况下,您的品牌或产品线本身所能实现的业务表现。任何公司都能在不进行营销的情况下获得一定销售额。由于之前建立的品牌识别度和季节性需求模式等因素,一些品牌的销售额会比其他品牌更高。

估算基准收入或 KPI 有助于正确看待媒体贡献,并做出切实可行的营销决策。例如,您可能会发现,总体销售额的增长有 12% 是来自电视广告的贡献,这有助于证明广告支出和营销方案的合理性。

支出与收入贡献

支出与收入贡献对比图显示了每个渠道的媒体支出百分比以及对总增量收入或 KPI 的贡献百分比。绿条突出显示了每个渠道的投资回报率 (ROI),表示渠道支出的效率。

此图简要展示了渠道的相对规模和效果。您可以从投资回报率图和边际投资回报率图中获得更深入的洞见,并探索预算优化器,获取分配策略建议。

投资回报率图

投资回报率 (ROI) 图可帮助您了解营销活动对业务目标的影响。投资回报率是指单位支出带来的增量结果。CPIK 是指单位增量结果的费用。如需了解详情,请参阅增量结果定义

如果您以图的形式生成这些数据,则可以自定义或停用可信区间,还可以调整圆圈大小。

比较各个渠道的投资回报率、边际投资回报率、效果和 CPIK,可深入全面地了解渠道效果。

输出示例:(点击图片可放大。)

roi-charts

  • 各渠道的投资回报率图:比较不同渠道的投资回报率。

  • 各渠道的 CPIK 图:比较不同渠道的 CPIK。

    您可以自定义各渠道的投资回报率图表和各渠道的 CPIK 图表,以更改或移除默认可信区间。

  • 投资回报率与效果对比图:比较每个渠道的投资回报率与效果。效果是指每个媒体单位(展示次数)带来的增量收入。投资回报率高不一定意味着效果好。反之,支出低也并不一定意味着效果差。

  • 投资回报率与边际投资回报率对比图:比较投资回报率与边际投资回报率 (mROI),其中 mROI 是指额外单位支出的预测性投资回报率。

    mROI 用于表示额外支出的效率。例如,如果渠道的投资回报率高但 mROI 低,则表示渠道可能处于饱和阶段。因此,任何额外投资都可能无法带来初始投资所产生的回报。而如果渠道的投资回报率和 mROI 都高,则说明渠道当前效果良好,在增加支出后可能会继续带来高回报。

响应曲线

响应曲线有助于直观呈现营销活动与业务成效之间的因果关系。通过响应曲线了解营销活动与销售额之间的历史关系,您可以估算不同媒体支出水平下的效果。

如果您要将此类信息绘制成图,则可以进行自定义;您可以选择显示多个独立的图、合并为一个图,也可以仅显示支出最高的几个渠道。您也可以隐藏可信区间。

输出示例:

最佳分析图

这些是汇总的渠道级响应曲线,其中 X 轴表示用于训练模型的所有地理位置和时间段的总支出,Y 轴表示假设将产生的预期增量收入。每个地理位置和时间段的媒体单位会按总支出进行比例缩放,并根据各地理位置和时间段的历史排期模式进行分配。

Meridian 响应曲线显示了您当前的支出水平,以及每个渠道的支出回报从哪里开始递减。这为您提供了一个额外的视角,有助于降低超支风险。例如,如果您的一个渠道具有较高的投资回报率,但响应曲线显示该渠道已饱和或趋近饱和(如边际投资回报率较低),您可以考虑将它的部分预算重新分配给仍远未达到饱和状态的效果出色的渠道。

在解读超出可用历史媒体数据范围的响应曲线时,请务必谨慎。例如,假设特定渠道的媒体执行在不同地理位置和时间段都集中在特定水平。在这种情况下,系统中就没有媒体执行显著高于或低于该水平时的观测数据。这类推理是基于对已知范围内所观察到的关系进行外推,进而延伸至该范围之外。

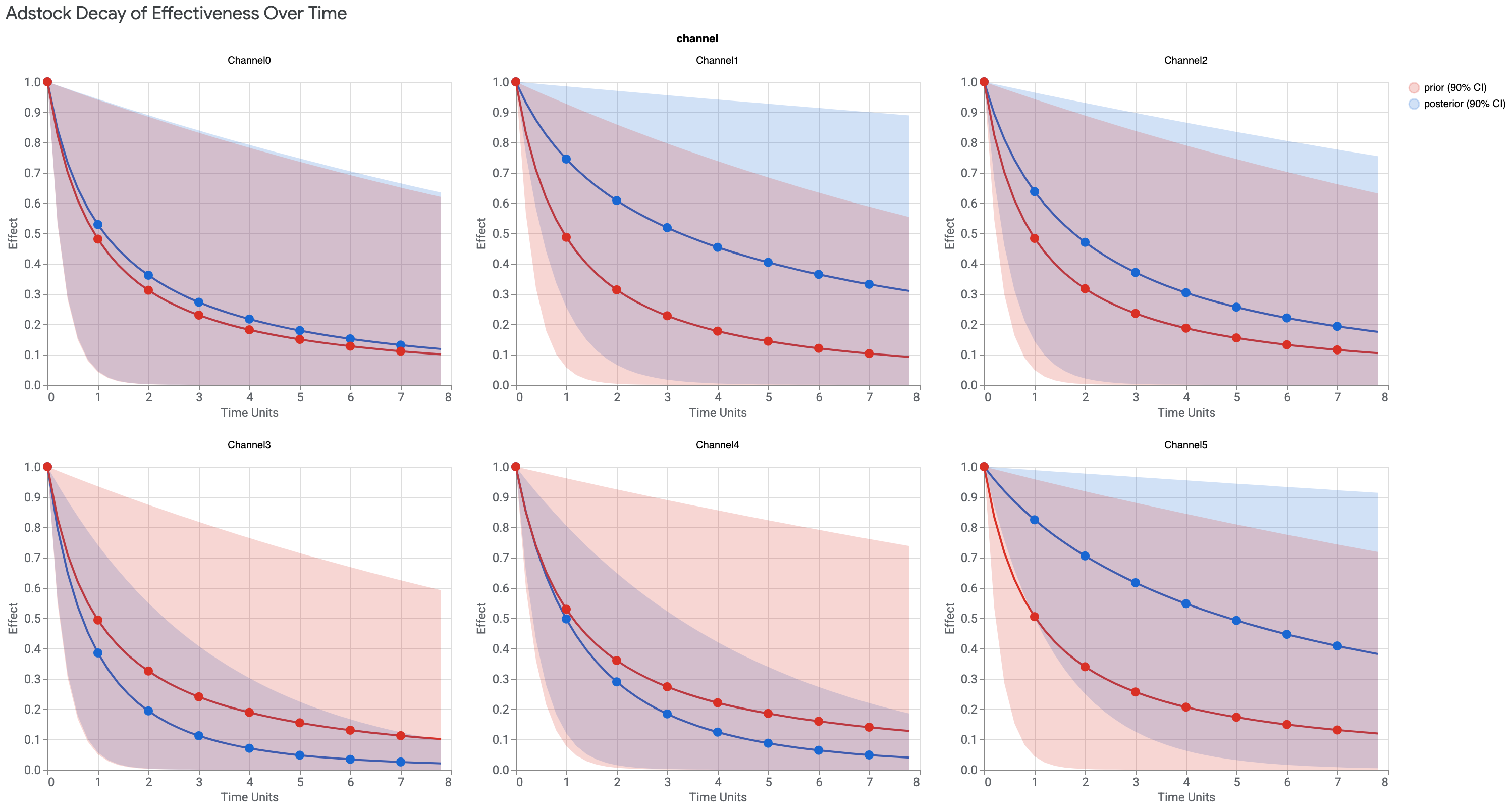
Adstock 衰减曲线

您可以绘制 Adstock 衰减可视化图表。生成的双页 HTML 输出中不包含此可视化图表。

这类曲线显示了媒体效应的衰减率,Meridian 使用的单调 Adstock 衰减会在第一天达到峰值。如果后验高于先验,那么在该媒体渠道投放广告的效应持续时间会比假设的更长。

输出示例:(点击图片可放大。)

Adstock 衰减方法考虑了滞后效应(延滞效应),即广告对销售额的滞后影响。消费者不一定会在看到广告后立即购买产品,这就产生了滞后效应。

这类图可帮助您:

  • 了解数据(与先验相比)对 Meridian 的延滞效应估计有何影响。

  • 了解所选 Adstock 衰减函数(几何或二项式)对 Meridian 的长期效应估计有何影响。

  • 确定是否需要增加或减少 max_lag

  • 针对如下策略提出假设:在何时以及以何种频率分配渠道在不同时间的支出。

Hill 饱和度曲线

您可以绘制 Hill 饱和度可视化图表。生成的双页 HTML 输出中不包含此可视化图表。

这类曲线随着人均媒体单位(通常是展示次数)趋于无穷大而渐近于 1,并会显示人均媒体单位相对于此渐近线的效应。Hill 曲线用于显示饱和度(效果下降)。

输出示例:(点击图片可放大。)

Hill 曲线体现了 KPI 与人均每周平均媒体单位(通常为展示次数)之间的数学关系。非线性关系被认为能够反映精细级别的营销心理现象,例如当消费者反复看到同一则广告时的情况。

此图表还会显示所有地理位置和时间段的人均媒体单位(例如展示次数)直方图。这样,您就可以在精细级别直观了解历史媒体执行过饱和或欠饱和的频率和程度。请注意,在此直方图中,小型地理位置和大型地理位置的代表性是相同的,有必要对原始数据进行更深入的挖掘,以了解可能导致特定离群值或模式的原因。

直方图还有助于您对 Hill 曲线上各个点的推理可信度做出明智的判断。Hill 曲线是一种参数函数,可用于估算高于或低于历史媒体执行集中水平的媒体效应(也称为外推)。例如,某些渠道始终处于启用状态(媒体执行从未为零),因此在零或接近零的范围内,没有可用于 Hill 曲线的数据。

理想情况下,您应使用数据(而非参数外推)来确定递减响应曲线上的每个点,但这是不可能的。用户需要谨慎理解结果中固有的外推程度,并确定一个在制定业务决策时可以接受的水平。解读响应曲线时也需要同样谨慎。