Media-Visualisierungen darstellen

Sie können die Visualisierungen für die Media-Effekte mithilfe der Klassen MediaSummary und MediaEffects anzeigen. Jede hat unterschiedliche Darstellungen für die Media-Messwerte pro Channel. Damit lassen sich benutzerdefinierte Diagramme erstellen, die in der Standard-HTML-Ausgabe nicht verfügbar sind. Sie können beispielsweise Daten für bestimmte Channels grafisch darstellen, das glaubwürdige Intervall ändern oder löschen sowie den Adstock-Verfall (Adstock Decay) und Hill-Sättigungskurven hinzufügen.

Über die Klasse MediaSummary können Sie die folgenden Diagramme erstellen:

Über die Klasse MediaEffects können Sie die folgenden Kurven erstellen:

Flächendiagramm für Beiträge

Im Flächendiagramm für Beiträge sehen Sie den Beitrag des jeweiligen Marketing-Channels zum Gesamtergebnis (Umsatz oder KPI) im Zeitverlauf als übereinandergeschichtete Bänder. Die Höhe eines farbigen Bands zu einem bestimmten Zeitpunkt entspricht dem Beitrag des entsprechenden Channels. Die Gesamthöhe aller Bänder zu einem bestimmten Zeitpunkt entspricht dem Gesamtergebnis. Änderungen der Bänderbreite im Zeitverlauf deuten auf Veränderungen beim Beitrag eines Channels hin.

Führen Sie den folgenden Befehl aus, um das Flächendiagramm für den Channel-Beitrag zu erstellen:

media_summary.plot_channel_contribution_area_chart()

Beispielausgabe:

Flächendiagramm für Beiträge

Diagramm für die Entwicklung des Beitragsrangs

Das Diagramm für die Entwicklung des Beitragsrangs veranschaulicht den relativen Rang des Beitrags jedes Channels, einschließlich der Baseline, auf Grundlage der inkrementellen Ergebnisse im Zeitverlauf. Jede Linie steht für einen Channel. Ihre vertikale Position zu einem bestimmten Zeitpunkt gibt den Rang an. Rang 1 steht für den höchsten Beitrag. Aufwärts verlaufende Linien weisen darauf hin, dass sich der Rang verbessert, während abwärts verlaufende Linien einen Rangverlust bedeuten. Sich kreuzende Linien deuten auf Veränderungen in der relativen Leistung zwischen den Channels hin. Ränge können auf Wochenbasis oder quartalsweise angezeigt werden.

Führen Sie den folgenden Befehl aus, um das Diagramm für die Entwicklung des Beitragsrangs zu erstellen:

media_summary.plot_channel_contribution_bump_chart()

Beispielausgabe:

Diagramm für die Entwicklung des Beitragsrangs

Wasserfalldiagramm für Beiträge

Das Wasserfalldiagramm für Beiträge gibt Aufschluss darüber, wie viel jeder Channel zum Gesamtbetrag des zusätzlichen Umsatzes oder KPI beigetragen hat. Die Baseline zeigt den Umsatz oder KPI ohne Media-Effekte.

Führen Sie den folgenden Befehl aus, um das Wasserfalldiagramm für Beiträge zu erstellen:

media_summary.plot_contribution_waterfall_chart()

Beispielausgabe:

Wasserfalldiagramm für Beiträge

Kreisdiagramm für Beiträge

Sie können sich ein Kreisdiagramm für den zusätzlichen Umsatz oder KPI-Beitrag aus allen Channels ansehen, der mit der Baseline ohne Media-Effekte verglichen wird.

Führen Sie den folgenden Befehl aus, um das Kreisdiagramm für die Beiträge zu erstellen:

media_summary.plot_contribution_pie_chart()

Beispielausgabe:

Kreisdiagramm für Beiträge

Ausgaben im Vergleich zum Beitrag

Im Diagramm „Ausgaben im Vergleich zum Beitrag“ werden die Ausgaben und die Aufteilung des zusätzlichen Umsatzes oder KPI zwischen den Channels verglichen. Diese Visualisierung zeigt den Prozentsatz der Media-Ausgaben für jeden Channel und den Prozentsatz, den der jeweilige Channel zum gesamten zusätzlichen Umsatz oder KPI beigetragen hat. 100 % des Umsatzes (oder KPI) sind der gesamte zusätzliche Umsatz (oder KPI) aus Media, ohne die Baseline. Der grüne Balken gibt den ROI (Return on Investment) für den jeweiligen Channel an.

Führen Sie den folgenden Befehl aus, um das Diagramm zu den Ausgaben im Vergleich zum Beitrag zu erstellen:

media_summary.plot_spend_vs_contribution()

Beispielausgabe:

Balkendiagramm für Ausgaben im Vergleich zum Beitrag

ROI nach Channel

Wenn Sie den ROI (Return on Investment) zwischen den Channels vergleichen, können Sie nachvollziehen, wie sich die Ausgaben für die einzelnen Channels auf den Umsatz ausgewirkt haben. Der ROI wird anhand des Umsatzes pro investiertem Euro berechnet. Dies wird zusammen mit dem glaubwürdigen Intervall dargestellt.

  • Führen Sie den folgenden Befehl aus, um das Diagramm für den ROI nach Channel zu erstellen:

    media_summary.plot_roi_bar_chart()
    

    Beispielausgabe:

    ROI nach Channel (Balkendiagramm)

  • Sie können das glaubwürdige Intervall (ci) auch entfernen oder ändern.

    Das folgende Beispiel zeigt, wie Sie das glaubwürdige Intervall entfernen:

    media_summary.plot_roi_bar_chart(include_ci=False)
    

    Beispielausgabe:

    Diagramm für ROI nach Channel ohne glaubwürdiges Intervall

Wenn Ihre Daten einen nicht umsatzbezogenen KPI-Typ mit einem unbekannten Wert für die Währungseinheit enthalten, können Sie stattdessen die Kosten pro inkrementellem KPI vergleichen.

  • Führen Sie den folgenden Befehl aus, um das Diagramm für die Kosten pro inkrementellem KPI zu erstellen:

    media_summary.plot_cpik()
    

ROI im Vergleich zur Effektivität

Sie können den ROI (Return on Investment) der einzelnen Channels mit ihrer Effektivität vergleichen, indem Sie den ROI in Relation zur Effektivität setzen. Die Effektivität wird anhand des zusätzlichen Umsatzes pro Media-Einheit gemessen. In diesem Diagramm entspricht die Größe der einzelnen Channels dem Ausgabenniveau. Je größer der Kreis, desto mehr wurde für den Channel ausgegeben.

  • Führen Sie den folgenden Befehl aus, um den ROI im Vergleich zur Effektivität darzustellen:

    media_summary.plot_roi_vs_effectiveness()
    

    Beispielausgabe:

    Diagramm für ROI und Effektivität mit Kreisen unterschiedlicher Größe

  • Sie können auch die zu vergleichenden Channels anpassen und festlegen, dass die Diagramme ohne Größenunterschiede dargestellt werden.

    Führen Sie den folgenden Befehl aus, um die Größenunterschiede zu deaktivieren:

    media_summary.plot_roi_vs_effectiveness(disable_size=True)
    

    Beispielausgabe:

    Diagramm für ROI und Effektivität mit Kreisen gleicher Größe

ROI im Vergleich zum Grenz-ROI

Sie können den ROI mit dem Grenz-ROI vergleichen. Der Grenz-ROI ist der ROI aus einer zusätzlichen Ausgabeneinheit. Die Größe des Kreises entspricht dem für den Channel ausgegebenen Betrag. Je höher die Ausgaben, desto größer der Kreis.

  • Führen Sie den folgenden Befehl aus, um den ROI im Vergleich zum Grenz-ROI darzustellen.

    media_summary.plot_roi_vs_mroi()
    

    Beispielausgabe:

    Diagramm „ROI im Vergleich zum Grenz-ROI“

  • Sie können die gewünschten Channels auswählen und optional gleich große Achsen für ROI und Grenz-ROI verwenden. Sie können die Größenunterschiede auch deaktivieren.

    Im folgenden Beispiel werden bestimmte Channels ausgewählt und gleich große Achsen festgelegt:

    media_summary.plot_roi_vs_mroi(
        selected_channels=["Channel1", "Channel4"],
        equal_axes=True
    )
    

    Beispielausgabe:

    Diagramm für ROI im Vergleich zum Grenz-ROI für ausgewählte Channels

Reaktionskurven

Reaktionskurven zeigen Ihr aktuelles Ausgabenniveau und den Punkt, ab dem zusätzliche Ausgaben auf Channelebene nicht mehr den gleichen Ertrag bringen.

Sie können die Reaktionskurven der einzelnen Channels in einem gemeinsamen Diagramm zusammen oder einzeln darstellen. Der farbige Bereich im Diagramm zeigt die glaubwürdigen Intervalle, der Punkt die aktuellen Ausgaben.

  • So rufen Sie Reaktionskurven in separaten Diagrammen auf:

    media_effects = visualizer.MediaEffects(meridian)
    media_effects.plot_response_curves()
    

    Beispielausgabe: (Klicken Sie auf das Bild, um es zu vergrößern.)

    response-curves-separately

  • So blenden Sie die glaubwürdigen Intervalle aus und zeigen die Kurven in einem gemeinsamen Diagramm an:

    media_effects = visualizer.MediaEffects(meridian)
    media_effects.plot_response_curves(
        plot_separately=False,
        include_ci=False
    )
    

    Beispielausgabe:

    Reaktionskurven gemeinsam dargestellt

  • So stellen Sie nur die Reaktionskurven für die Channels mit den höchsten Ausgaben dar:

    media_effects = visualizer.MediaEffects(meridian)
    media_effects.plot_response_curves(
        plot_separately=False,
        num_channels_displayed=1
    )
    

    Beispielausgabe:

    Reaktionskurve für den wichtigsten Marketing-Channel

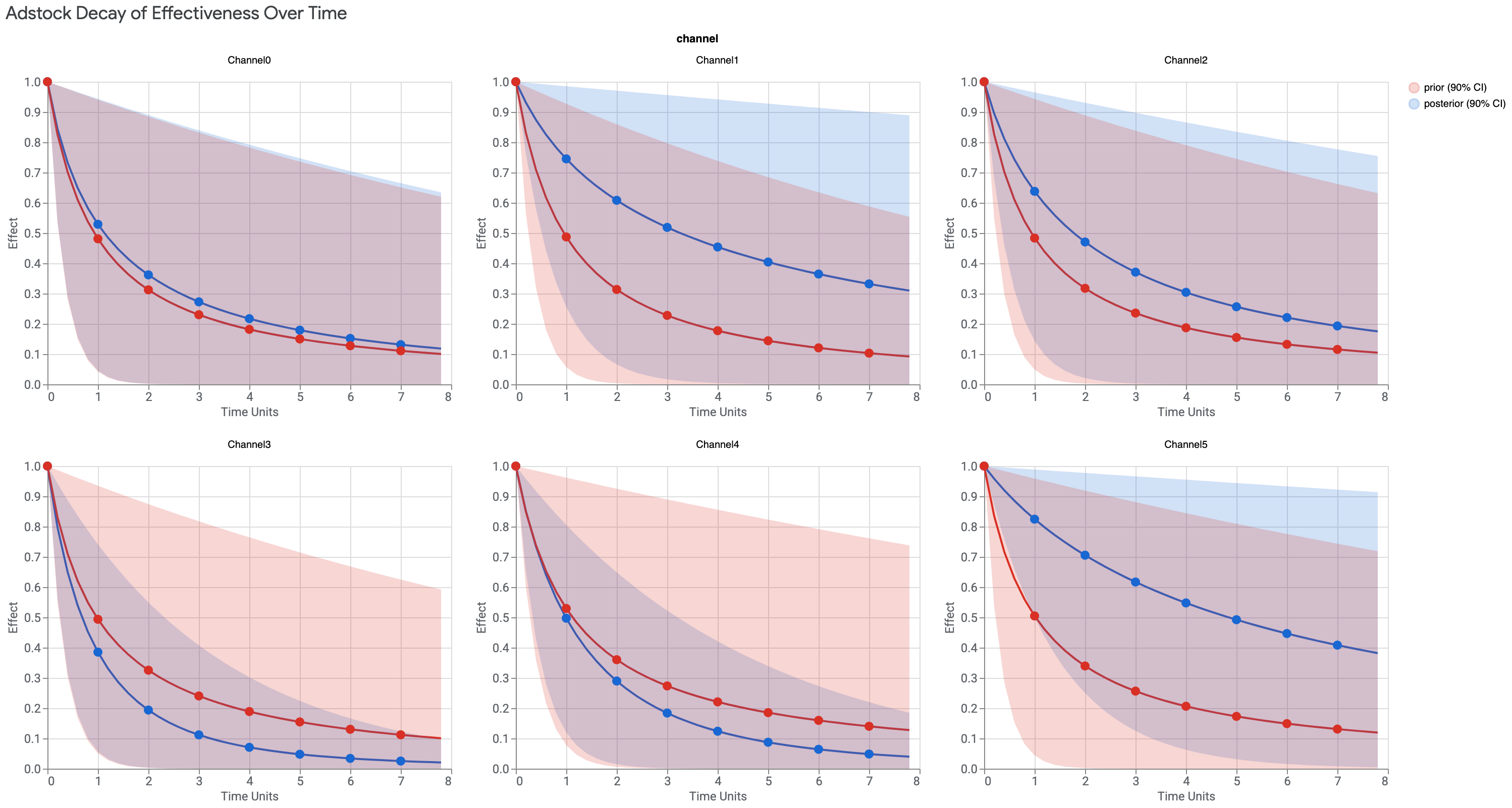
Adstock-Verfall

Diese Visualisierung zeigt die Abklingrate der Media-Effekte, wobei monoton fallende Adstock-Kurven, die Meridian verwendet, den größten Effekt am ersten Tag haben. Bei dieser Methode wird die Wirkung einer Anzeige auf einen Verbraucher berücksichtigt, auch nachdem die Anzeige ausgeliefert wurde.

Wenn der Posterior höher als der Prior ist, dann halten die Effekte der Auslieferung einer Anzeige auf diesem Media-Channel länger an als ursprünglich angenommen.

Die angezeigten Zeiteinheiten sind auf den Wert max_lag beschränkt. Dieser ist in der folgenden Beispielausgabe auf 8 Zeiteinheiten festgelegt. Normalerweise sind Wochen festgelegt, Sie können aber auch Tage verwenden.

Führen Sie den folgenden Befehl aus, um den Adstock-Verfall darzustellen:

media_effects.plot_adstock_decay()

Beispielausgabe: (Klicken Sie auf das Bild, um es zu vergrößern.)

Hill-Sättigungskurven

Die Hill-Sättigungskurven zeigen die abnehmende Wirkung von Anzeigenimpressionen auf einen Nutzer. Im Modell wird eine C-Kurve verwendet, um die reduzierte Effektivität oder Sättigung darzustellen. Im folgenden Beispiel zeigt die Y-Achse die relative Effektivität der unbegrenzten Auslieferung von Anzeigen. Die X-Achse zeigt die Impressionen pro Kopf. Eine Impression wird immer dann gezählt, wenn ein Nutzer die Anzeige sieht. Diese Kombination zeigt, wie gesättigt die einzelnen Media-Channels sind.

In dieser Grafik ist auch das Histogramm der Daten zu sehen, mit der Anzahl der Anzeigen, die pro Kopf in allen verfügbaren Zeiträumen und geografischen Einheiten präsentiert wurden.

Führen Sie den folgenden Befehl aus, um Hill-Sättigungskurven zu erstellen:

media_effects.plot_hill_curves()

Beispielausgabe: (Klicken Sie auf das Bild, um es zu vergrößern.)